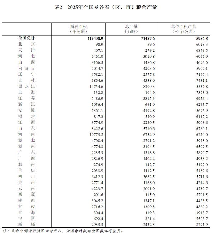
根據對全國31個省(區、市)的調查,2025年全國糧食播種面積、單位面積產量和總產量分別如下:
一、全國糧食播種面積119409千公頃(179113萬畝),比2024年增加90千公頃(135萬畝),增長0.1%。其中谷物[1]播種面積100619千公頃(150928萬畝),比2024年增加161千公頃(241萬畝),增長0.2%。
二、全國糧食單位面積產量5987公斤/公頃(399公斤/畝),比2024年增加65.7公斤/公頃(4.4公斤/畝),增長1.1%。其中谷物單位面積產量6561公斤/公頃(437公斤/畝),比2024年增加68.3公斤/公頃(4.6公斤/畝),增長1.1%。
三、全國糧食總產量71488萬噸(14298億斤),比2024年增加838萬噸(168億斤),增長1.2%。其中谷物產量66021萬噸(13204億斤),比2024年增加792萬噸(158億斤),增長1.2%。
國家統計局
2025年12月12日
注:[1]谷物主要包括稻谷、小麥、玉米及谷子、高粱、大麥、燕麥和蕎麥等。


關于糧食產量調查制度和方法的說明
全國糧食總產量為31個省(區、市)夏糧、早稻和秋糧產量的總和。
(一)調查方法
糧食產量統計調查采取主要品種抽樣調查、小品種典型調查或全面統計相結合的方法統計。抽樣調查的主要糧食品種有稻谷、小麥和玉米等,通過以省為總體抽選具有代表性的村和地塊開展調查。糧食產量抽樣調查由播種面積和單位面積產量抽樣調查組成。播種面積調查利用遙感影像、采取空間抽樣技術抽選調查樣本,在調查時點對樣本地塊內所有農作物進行清查,推算主要糧食作物的播種面積。單位面積產量調查通過采用實割實測的方法,推算各主要糧食品種的單位面積產量。播種面積與單位面積產量相乘得到總產量。
(二)調查樣本
目前以省為總體的糧食產量抽樣調查在國家調查縣(市)中進行。全國共抽取近1萬個樣本村,每個樣本村抽取3個面積約60畝的樣方地塊。在調查時節,由國家統計局各基層調查隊調查人員和輔助調查員開展調查,對樣方地塊內及其壓蓋的所有自然地塊開展播種面積抽樣調查。各省級調查總隊根據調查基礎數據推算得出省級糧食播種面積。
糧食單位面積產量抽樣調查在國家調查縣(市)抽取的面積調查地塊中進行,全國共抽取5000多個樣本村、近3萬個自然地塊,每個自然地塊中再按照要求抽選3-5個10平方尺的小樣方,通過對樣方內糧食作物進行實割實測,推算得出全省各糧食作物平均單產水平。
(三)測產方法
主要糧食品種單位面積產量調查采用實割實測的方法取得。按照《農林牧漁業統計報表制度》,在糧食作物收獲前,各調查村中的基層調查員在播種面積調查樣本的基礎上對相應糧食品種種植地塊逐塊進行踏田估產、排隊,抽選一定數量樣本地塊做出標記;待收獲時各縣級調查員或者輔助調查員在抽中樣本地塊上進行放樣,割取樣本,再通過脫粒、晾曬、測水雜、稱重、核定割拉打損失等環節,計算出地塊單產。國家統計局各調查總隊根據抽中樣本地塊單產推算全省(區、市)平均單位面積產量。
轉自:國家統計局網站
【版權及免責聲明】凡本網所屬版權作品,轉載時須獲得授權并注明來源“中國產業經濟信息網”,違者本網將保留追究其相關法律責任的權力。凡轉載文章及企業宣傳資訊,僅代表作者個人觀點,不代表本網觀點和立場。版權事宜請聯系:010-65363056。
延伸閱讀