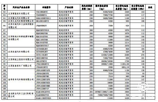
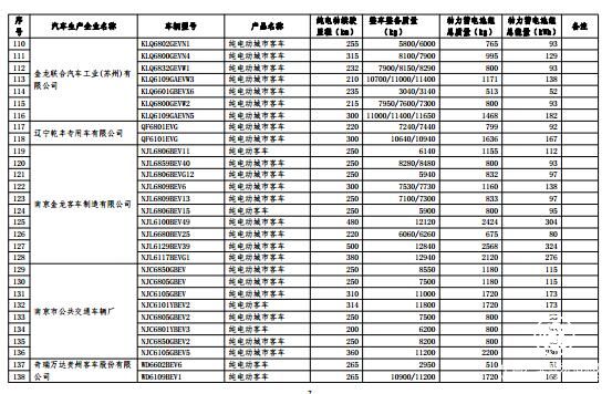
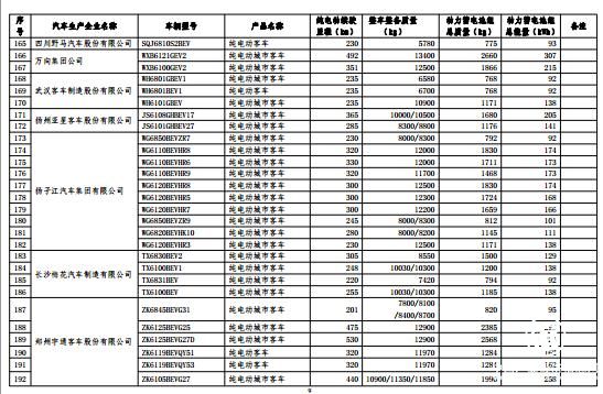
9月5日,記者從工信部網站獲息,工信部發布《免征車輛購置稅的新能源汽車車型目錄(第十二批)》(以下簡稱《目錄》),共有486款新能源車型進入本批目錄。其中,純電動車方面,共有50款乘用車,228款客車,1款貨車,138款專用車。插電式混合動力方面,共有2款乘用車,66款客車。燃料電池車方面,共有1款客車。
第十二批《目錄》與工信部于7月份公布的第十一批《目錄》相比,免征購置稅的新能源汽車車型總數少了179款。本批免征購置稅的新能源車型中,按車型劃分,新能源乘用車共52款,占比11%;新能源客車共294款,占比60%;新能源專用車(由于新能源貨車只有1款,為便于統計,故將貨車統計在新能源專用車類別中)共139款,占比29%。(王紫)
附件:免征車輛購置稅的新能源汽車車型目錄(第十二批)


























轉自:人民網
【版權及免責聲明】凡本網所屬版權作品,轉載時須獲得授權并注明來源“中國產業經濟信息網”,違者本網將保留追究其相關法律責任的權力。凡轉載文章及企業宣傳資訊,僅代表作者個人觀點,不代表本網觀點和立場。版權事宜請聯系:010-65363056。
延伸閱讀