伊尼妥單抗是中國第一個Fc段修飾、生產工藝優化、具有更強ADCC效應的創新抗HER2單抗,與化療藥物聯合,已被證明可以延緩HER2陽性的轉移性乳腺癌患者病情進展,并帶來生存獲益。但是伊尼妥單抗聯合帕妥珠單抗在新輔助治療過程中能否取代傳統的抗HER2妥妥雙靶治療鮮有報道。本研究由復旦大學附屬腫瘤醫院邵志敏教授牽頭開展:探索伊尼妥單抗聯合帕妥珠單抗、白蛋白紫杉醇用于HER2陽性乳腺癌新輔助治療的療效與安全性,其研究結果在《Cancer Letters》上重磅發布。
精準治療新策略:伊尼妥單抗雙靶方案帶來抗HER2治療新選擇
HER2陽性乳腺癌在所有乳腺癌中占比約為20%~30%,對于早期或局部晚期HER2陽性的乳腺癌患者,新輔助治療達到完全緩解能夠顯著改善生存,目前TCbHP及THP方案已經成為標準治療推薦。本研究參考當前臨床實踐,采用單臂、多中心的試驗設計,納入了62例HER2陽性(IHC 3+或者IHC 2+/FISH+)早期或局部晚期乳腺癌患者,采用wABX+HP4周期方案治療:伊尼妥單抗(初始負荷劑量8 mg/kg,維持劑量為6 mg/kg,q3w,4周期)聯合帕妥珠單抗(初始負荷劑量840 mg,維持劑量為420 mg,q3w,4周期)及白蛋白紫杉醇(劑量為125 mg/m2,qw,12周)。

圖1:研究設計圖

表1. 患者基線狀況
療效數據亮眼:HR陰性亞組tpCR率突破90%
經過12周,共計4個周期的治療,全分析集(FAS)中的62例患者療效可評價,總病理緩解率(tpCR)為56.5%(95% CI: 43.3%-69.0%),符合方案分析集(PPS)中的61例患者總病理緩解率(tpCR)為57.4%(95% CI: 44.1%-70.0%)(詳見表2)。特別注意的是:雌激素受體(ER)陰性的患者tpCR高達90.9%(95% CI: 70.8%-98.9%)。
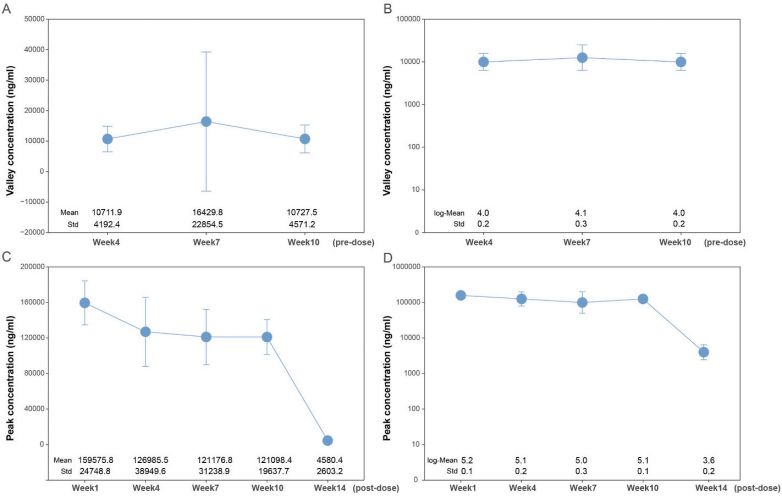
另外,作為探索性終點,平均最高血藥濃度(Cmax)為126985.5 ± 38949.6ng/ml,平均最低血藥濃度(Cmin)為10711.9 ± 4192.4 ng/ml(詳見圖2)。藥代動力學的結果顯示,Cmin顯著高于同類產品有效閾值。

表2. 療效數據

圖2:給藥前后藥代動力學曲線(A/B分別為線性和半對數的谷濃度曲線,C/D分別為線性和半對數的峰濃度曲線)
安全性可控:未現新增風險信號
本研究觀察到的不良反應與已知的安全性特征相符,未發現新的風險信號。主要的不良反應包括:血液系統異常,如白細胞計數降低、中性粒細胞計數降低、貧血,肝功能異常和腹瀉等。≥3級的治療相關不良反應主要為中性粒細胞計數降低(22.6%)、白細胞計數降低(11.3%)、感染性肺炎(3.2%)、貧血(3.2%)、腹瀉(3.2%)(不良事件詳見表3)。所有不良事件均未導致治療終止或患者死亡,與現有雙靶聯合方案相比展現出更優的安全性譜。

表3.安全性數據
臨床實踐啟示:精準治療再添新證
本研究雖非頭對頭研究,但伊尼妥單抗雙靶聯合白蛋白紫杉醇較既往曲帕聯合單化療(THP)數據展現出更好的療效趨勢,與曲帕聯合雙化療(TCbHP)的四藥治療方案的tpCR率也十分接近。而特別值得關注的是該方案不僅在全人群中表現出了較好的療效,在HR陰性人群中更是表現出了與歷史數據相比顯著的tpCR優勢。相比6周期治療或4藥聯合方案,本研究中的伊尼妥單抗聯合帕妥珠單抗和白蛋白紫杉醇安全性良好,不良反應可控。
本研究為HER2陽性乳腺癌新輔助治療提供了兼具療效與安全性的優化方案,特別是HR陰性患者觀察到的突破性數據,可能改寫臨床實踐。目前團隊正在開展生物標志物探索,以進一步實現精準分層治療。
這項具有里程碑意義的研究成果,為乳腺癌新輔助治療領域注入新的活力。隨著個體化治療時代的到來,基于生物標志物的精準方案選擇將成為臨床決策的重要方向。
轉自:中華網
【版權及免責聲明】凡本網所屬版權作品,轉載時須獲得授權并注明來源“中國產業經濟信息網”,違者本網將保留追究其相關法律責任的權力。凡轉載文章及企業宣傳資訊,僅代表作者個人觀點,不代表本網觀點和立場。版權事宜請聯系:010-65363056。
延伸閱讀